压缩空气储能系统,就是采用压缩空气作为能量载体,实现能量存储和跨时间、空间转移和利用的一种能源系统,主要可以分为储能和释能两个基本工作过程:
储能时,电动机驱动压缩机由环境中吸取空气将其压缩至高压状态并存入储气装置,电能在该过程中转化为压缩空气的内能
释能时,储气装置中存储的压缩空气进入空气透平中膨胀做功发电,压缩空气中蕴含的内能和势能在该过程中重新转化为电能
大功率储能
单机功率可达数百兆瓦,并且可在实际运行过程中实现功率的实时调整
长周期储能
可实现日调度、周调度甚至季调度的长周期储能
长时间供电
可通过调整输出功率实现长时间供电
多能联储多能联供
多能联储联供能力,可与光热、地热、工业余热结合,作为清洁能源系统能量枢纽
补燃式压缩空气储能
工作原理
借鉴燃气动力循环,在压缩空气储能系统膨胀机前设置燃烧器,利用天然气等燃料与压缩空气混合燃烧,以提升空气透平膨胀机进气温度。
技术特点
结构简单,技术成熟度高、设备运行可靠、投资成本低,具有较长的使用寿命,具备与燃气电站类似的快速响应特性;
在当前大力发展绿色能源、控制碳排放量的大背景下,碳排放已成为其最大弊端。
绝热式压缩空气储能
工作原理
通过提升压缩机单级压缩比获得较高品位的压缩热能并存储起来;释能过程中,利用储存的压缩热加热透平膨胀机入口空气,实现无需补充燃料的压缩空气储能。根据储热温度不同,可分为高温(>400℃)和中温(<400℃)两个技术路线。
技术特点
高温绝热压缩空气储能超高温压缩和高温固体蓄热技术存在技术瓶颈,难以实现;
中温绝热压缩空气储能关键设备技术成熟、成本合理,系统稳定性、可控性较强,具备多能联储、多能联供的能力,易于实现工程化应用。
等温式压缩空气储能
工作原理
采用准等温过程实现空气压缩和膨胀。压缩过程中实时分离压缩热能和压力势能,使压缩空气不发生较大的温升;在膨胀过程中,实时将存储的压缩热能回馈给压缩空气,使压缩空气不发生较大的温降。
技术特点
等温压缩空气储能优点是系统结构简单、运行参数低,但其装机功率一般较小,储能效率较低,等温的压缩过程和膨胀过程也难以实现,仅适用于小容量的储能场景。
复合式非补燃压缩空气储能
工作原理
太阳能光热、地热和工业余热均可满足压缩空气储能系统膨胀过程中的加热需求,这种通过多种能源系统复合实现非补燃压缩空气储能的系统称为复合式压缩空气储能系统,其工作原理与绝热式压缩空气储能类似。
技术特点
复合压缩空气储能系统具有较强的多能联储、多能联供的能力,可以实现多种能量形式的储存、转换和利用,满足不同形式的用能需求,提升系统能量综合利用效率。
深冷液化空气储能
工作原理
深冷液化空气储能在压缩、膨胀和储热方面与绝热式压缩空气储能类似,所不同的是,液态空气储能增加了蓄冷系统,其包括储能过程中空气的冷却、液化、分离、储存和释能过程中空气的气化。
技术特点
最大的优点是空气以常压液态形式储存,储能密度高,可大大减少储气系统的容积,减少电站对地形条件的依赖。但由于增加蓄冷系统,导致系统结构更为复杂。
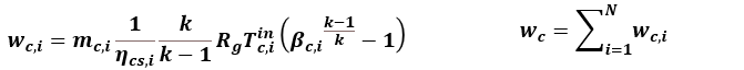
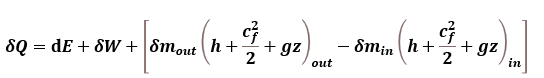
热量可以从一个物体传递到另一个物体,也可以与其他形式的能量互相转换,在上述传递或转换过程中,能量的总量保持不变。对于闭口系统,热力学第一定律数学表达式为

式中,dE 为系统总能的变化,δQ 为系统由外界吸收热量与向外释放热量之差,δW 为系统向外界做功与外界向系统做功之差。
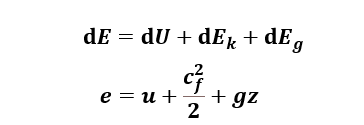
对于一个热力系统,其内部能量E 由系统内部物质的内能U、宏观的动能Ek和重力势能Eg组成,即
体积功
边界上某一微元面积δA在压强p作用下沿法线移动dx并引起体积变化dV,则压强p在该过程中对系统所做的功为体积功,表达式为
流动功
对于存在物质传递的热力过程,热力系统中工质在压力作用下的流动过程也存在功的传递,称为流动功,此时微元的体积未发生变化,其表达式为
焓(Enthalpy)
定义物质内能U和推动功pV之和为物质的焓H,单位质量物质内能u与流动功pv之和为物质的比焓h,单位为(kJ/kg)。
开口系能量守恒方程
和闭口系不同,开口系能量守恒中还需要考虑工质进出带来的能量变化和流动功,其表达式为
式中cf为工质的流速;z为工质在重力场中的高度;g为重力加速度;下标in和out分别表示进口和出口参数。在压缩空气储能研究中,一般忽略空气的动能和势能,则该表达式可简化为
稳定流动的开口系能量方程
对于达到稳定流动状态的开口系统,即系统内各处物质的状态参数都处于稳定状态,则此时系统内部总能不变,进出系统的物质的量也一致,其表达式为
技术功
可通过工程机械技术手段施加或应用的功称作技术功,包括体积功、动能、势能等,因此稳定流动的开口系能量方程可简化为
例3-1:已知空气透平进口空气的焓值h1为599.85 kJ/kg,流速cf1为30 m/s;透平出口空气焓值h2为352.03 kJ/kg,流速cf2为70 m/s;散热损失和势能差可以忽略不计。试求1 kg空气流经空气透平时对外界做的功。若空气流量m为20 t/h,试求空气透平的功率。
从上例中可以看出,相对于焓值的变化247.82kJ/kg,工质动能的变化仅为2.0kJ/kg,动能的变化对透平机做功能力的影响不大,因此在工程领域中,常常忽略动能的变化。
理想气体状态方程
通过测定温度T、压力p和比体积v(或密度ρ)三个基本可测状态参数,可以确定气体所处的热力学状态,其相互关系为:
PV=RT
此为理想气体状态方程,R被称为理想气体常数,单位为[kJ/(kg·K)]
比热容
定义单位质量物质在热力过程中温度升高1K所需要吸收的热量为比热容,单位为[kJ/(kg·K)]。比定容比热容cv和比定压比热容cp分别可表示为

定容比热容cv和比定压比热容cp的相互关系为
例3-2:某气体的气体常数R为0.287 kJ/(kg·K),其在某状态下的比定压比热容cp为1.0065 kJ/(kg·K),试求其比定容比热容cv及比热容比γ
熵(Entropy)
根据热力系统发生耗散效应时的热力学温度T和耗散的热量Q,定义衡量热力过程不可逆程度的热力学状态参数熵,其表达式为:
dS越大,说明热力过程中能量的耗散越大,不可逆程度越大。
根据熵的定义、理想气体状态方程、理想气体比热容表达式,可进一步得到理想气体比熵的不同表达式
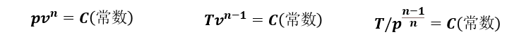
理想气体绝热过程
绝热过程是中系统与外界不发生热量传递,因而系统熵增为零,可逆的绝热过程也称等熵过程。等熵过程中的比热容比通常用k表示,称为定熵指数或绝热指数。绝热过程中理想气体状态参数的关系式为
对于复杂的热力学过程,仍然可以采用类似的形式来描述
n—多变指数
若n为零,即p为常数,为等压过程;若n为1,即pv为常数,为等温过程;若n为k,即为绝热指数,为等熵过程;若n为无穷大,即v为常数,为等容过程
理想气体热力学过程计算公式
定值比热容的假设下,理想气体各热力学过程的计算公式如下
例3-3:空气稳定流经散热良好的压缩机,入口参数为p1=0.101 MPa,t1=20 ℃,可逆绝热压缩到出口压力p2=0.82 MPa,然后进入储罐。假设空气的流量m=2.5 kg/s,比定压比热容cp=1.004 kJ/(kg·K),绝热指数k=1.4,试求空气的出口温度及压缩机的功率。
例3-4:空气稳定流经散热良好的压缩机,入口参数为p1=0.101 MPa,t1=25 ℃,可逆绝热压缩到出口压力p2=1.25 MPa,然后进入储罐。假设空气的流量m=1.3 kg/s,气体常数R=0.287 kJ/(kg·K),试求压缩机的功率:(1) 压缩过程为等温压缩;(2) 压缩过程为n=1.28 的多变过程;(3) 压缩过程为绝热等熵压缩,k=1.4。
热力学第二定律
热力学第二定律在能量守恒的基础上进一步指出:热量会自发地由高温向低温传递,但不会自发地由低温向高温传递,这样逆温差的热量传递过程需要消耗能量。
实际热力过程往往伴随着因摩擦、电磁等因素导致的能量耗散,这种耗散一般以热量形式发生。根据热力学第二定律,存在耗散效应的热力过程是不可自发逆转的。
熵的定义为判断热力过程不可逆程度提供了依据,熵越大,说明热力过程中能量的耗散越大,不可逆程度越大。
理想气体及其热力学过程
㶲(Exergy)
温度为T0的环境条件下,热源所提供的热量中可转化为有用功的最大值称为㶲,用Ex,Q来表示,其表达式为
式中,T为热源的温度,T0为参考状态下的参考温度,一般选取为当地的环境温度。㶲的大小能够作为衡量热源品位高低的参数
对于稳定流动的工质,其㶲一般是指其能量焓中的㶲,称为焓㶲,表示为
对于确定的环境状态,稳定流动工质㶲只取决于给定状态,是个状态参数
先进绝热压缩空气储能运行过程可划分为能量输入、热势解耦、热势耦合和能量输出四个基本过程
能量输入:电能驱动压缩机进行准绝热压缩,将环境中的空气吸入后压缩至高温高压,电能转化为压缩空气的内能,从而完成能量的输入
热势解耦:在储能侧换热器内,高温高压空气和换热介质进行换热,空气温度降低进入储气装置,换热介质升温后进入储热系统中进行存储,从而实现压缩热能和压力势能的解耦存储
热势耦合:在释能侧换热器内,高温储热介质加热储气系统中释放的高压空气进入空气透平膨胀机,热介质温度降低后返回储热系统,实现压缩热能和压力势能的耦合过程
能量输出:热势耦合过程生成的高温高压空气进入空气透平膨胀机中膨胀做功,完成内能向机械能的转化,而机械能最终在发电机中转化为电能,实现电能的再生和输出
能量输出
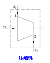
压缩过程中产生的热量大部分来不及传递给周围环境,因此空气压缩过程往往可简化为绝热过程进行分析计算。为获得较高的压力,一般需要采用多级压缩机串联的形式。当各级压缩比相等时,理论上整个多级压缩过程消耗的技术功最小。
设压缩机总级数为N,则第i 级压缩机出口温度Toutc,i和出口压力poutc,i分别为
每一级压缩机压缩过程的耗功量wc,i和总功耗可以表示为
例3-5:某压缩空气储能系统压缩部分采用四级压缩、级间换热器冷却的方式。空气的初始状态为p0=0.1 MPa、t1=25 ℃,经四级压缩后空气压力达到8.1 MPa。各级压缩均为等熵压缩且等熵效率均为85%,压缩机的质量流量为2.5 kg/s,空气的绝热系数为1.4,气体常数为0.287 kJ/(kg·K)。假设二、三、四级压缩机的入口温度均为40 ℃且不考虑换热器的流动阻力损失,则压缩系统的最小功率是多少?此时各级的排气温度分别是多少?
压缩空气储能系统的膨胀过程往往需要通过多级膨胀实现,并在各级膨胀机入口加热压缩空气进气。当各级膨胀比相等时,整个多级膨胀过程输出的技术功最大
式中,Tint,j为该级空气透平的进口温度(K),pint,j为该级空气透平的入口压力(MPa),βt,j为该级空气透平的膨胀比,ηts,j为该级空气透平的等熵效率(%),mt,j为该级空气透平的质量流量(kg/s)
例3-6:某压缩空气储能系统膨胀部分采用两级膨胀、级间再热的方式。一级空气透平进气压力p1=6.4 MPa、t1=290 ℃,两级膨胀完毕后的压力为环境压力0.1 MPa。各级膨胀均为等熵膨胀且等熵效率均为90%,透平的质量流量为5.5 kg/s,空气的绝热系数为1.4,气体常数为0.287 kJ/(kg·K)。假设两级空气透平的入口温度相同且不考虑换热器的流动阻力损失,则透平的最大输出功率是多少?此时各级的排气温度分别是多少?
热能交换
根据能量守恒原理,换热过程中冷、热流体的传热控制方程如下所示
式中,m为流体的质量流量(kg/s),cp为比定压比热容(J/kg·K),ε为换热装置能效,一般取0.7-0.9,(mcp)min表示冷热流体中质量流量和比定压比热容乘积中较小者,下标中的hot和cool分别代表热流体和冷流体.
以压缩侧的换热过程为例,已知空气的入口温度和换热介质的入口温度,则换热装置中空气的出口温度和换热介质的出口温度可采用下列公式计算得出
例3-7:某压缩空气储能压缩侧换热器中采用水进行换热和蓄热。空气侧进口压力为0.8 MPa,进口温度为90 ℃,流量为75 kg/s,比定压比热容为定值1.02 kJ/(kg·K)。水侧的进口温度为35 ℃,流量为10.5 kg/s,比定压比热容为定值4.18 kJ/(kg·K)。换热器的能效系数为0.85,忽略换热过程中空气的压力损失,试求空气侧和水侧介质的出口温度
势能存储
势能存储装置可划分为等压和等容两类,等压存储过程中空气压力能够始终维持基本不变,其可采用理想气体状态方程进行分析和计算。等容存储过程中装置容积不发生改变,可按照理想气体等熵过程进行分析和计算。
充气过程开始时储气装置内的初始压力为p1,充气流量为qin,则充气时长为τ时储气装置内的压力p2为
记放气过程开始时储气装置内的初始压力为p3,初始温度为T3,放气流量为qout,放气时长为τ时储气装置内压力为p4,则
可以看出,等容等熵充气过程中,由于单位时间内进入储气装置内的能量不变,储气装置内压力的变化与充气时间呈线性关系;等容等熵放气过程中,虽然放气流量不变,但由于储气装置内压力下降导致排气温度下降,储气装置内压力的变化与放气时间呈反对数函数关系。
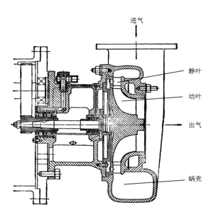
压缩机
离心式压缩机
气体由吸气室吸入,在高速旋转的叶轮离心力作用速度、温度都得到提高,再进入扩压器,将气体的速度能转变为压力能,从而实现空气的压缩。经过多级连续压缩后,最终由排气口排出。
优点:转速高、排气量大、排气均匀,性能曲线平坦
缺点:存在喘振现象,危害压缩机和系统运行安全
轴流式压缩机
依靠高速旋转的叶轮将气体从轴向吸入,气体获得速度后排入导叶,经扩压后再沿轴向排出。
优点:通流能力大、流量大、阻力损失小、效率高。
缺点:压比较小,流量可调节的范围比较小,用于压缩空气储能系统时,一般需要和离心压缩机串联使用
膨胀机
和压缩机类似,膨胀机也主要分为容积型与速度型两大类;
根据运动方式不同,容积型膨胀机可分为往复式和回转式两类。
往复式压缩机一般指活塞式膨胀机。回转式膨胀机包括螺杆式、涡旋式等;
速度型膨胀机则主要指透平式,根据介质在叶轮内的流动方向,可以分为径流式和轴流式;
可用于压缩空气储能的膨胀机主要有往复式、径流式和轴流式三大类
往复式膨胀机
高压气体通过进气阀进入气缸后,气体膨胀时推动活塞运动,并通过曲轴连杆结构将活塞的往复运动转化成曲轴的旋转运动,向外输出机械功。
优点:结构简单,制造技术成熟,容易实现高膨胀比。
缺点:流量小,转速低,做功不连续,工作过程阻力损失大,效率低,不适合大型场合的应用
径流式膨胀机
气体由膨胀机的蜗壳进入叶轮,叶轮一方面使得高速气体的动能转化为机械能,由主轴向外输出做功,气体温度降低获得冷量,同时改变了气体的流动方向,使它由径向流动转化为轴向流动。
优点:效率较高、重量轻、叶片少,结构简单可靠
缺点:径向外壳的尺寸较大,流量受到约束
轴流式膨胀机
利用气体膨胀时速度能的变化来传递能量,类似于径流式膨胀机,不同的是气体由轴向流入叶轮
优点:通流能力强,适用于要求大流量的场合;易实现多级串联,效率高于径流式膨胀机
缺点:制造工艺要求较高,小流量运行时效率会降低
管壳式换热器
以封闭在壳体中的管束壁面作为传热面的间壁式换热器,进行换热的冷热两种流体,一种在管内流动,称为管程流体;另一种在管外流动,称为壳程流体。
优点:可承受较高的工作温度和工作压力,制造加工工艺简单,运行可靠性高,应用广泛。
缺点:换热系数低、体积大、换热端差大。
板式换热器
由一系列具有一定波纹形状的金属片叠装而成的一种新型高效换热器,通过板片进行热交换。
优点:换热效率高、结构紧凑轻巧、占地面积小、安装清洗方便、应用广泛。
缺点:无法承受高温高压,密封难度高,易出现泄漏。
势能存储装置
等容储气装置
钢制压力容器成本高、重量大、体积大、占地大
管线钢储气成本较为合理,可用于中小型CAES系统
盐穴、煤矿巷道等地下洞穴为代表的地下储气库容量大、占地少、力学性能稳定,经简单改造即可支撑建设大规模CAES系统
石油、天然气采空区或地下含水层也可用于建设CAES
等压储气装置
承压气囊壁面具有一定的柔性或伸缩性,利用其在水下存储高压压缩空气可实现气囊内部压缩空气压力的基本稳定,从而实现恒压充气和放气
利用重物的重力和储气装置内压缩空气压力之间的平衡关系实现压力的调节和控制,也可实现恒压充气和放气
循环效率:释能过程中总输出的能量和储能过程中总消耗的能量之比。
电-电效率:释能过程中总输出的电能和储能过程中总消耗的电能之比。
式中,τch和τdis分别为储能时间和释能时间(h),wt为系统释能时透平膨胀机的输出功率(kW),wc为系统储能时压缩机消耗的功率(kW),qin为系统储能时除了电能外的其他输入热量的功率(kW),qh和qc分别为系统释能时供热和供冷的功率(kW),Vas为压缩空气储能电站储气系统的容积(m3)。
例3-8:某光热复合式压缩空气储能的技术参数如下表所示,试求其电-电效率、循环效率和储能密度。
㶲平衡分析法—基于热力学第二定律
㶲效率:释能过程中输出能量的㶲和储能过程中输入能量的㶲之比
式中,Ex,h和Ex,c分别为系统释能过程中时供热和供冷的㶲(kW),单位为;Ex,in为系统储能时除了电能外的其他输入热量的㶲(kW) ;其他符号与循环效率和电-电效率意义相同。
㶲损失:系统输入㶲和输出㶲之间的差值,压缩机、透平和换热器的㶲损失分别为
式中,下标c,t和he分别表示压缩机、透平和换热器,hot和cool分别表示热流体和冷流体;ex,in和ex,out分别为进口空气和出口比㶲值(kJ/kg),m为质量流量(kg/s),wc和wt分别为压缩机和透平的功耗和做功量(kW)。
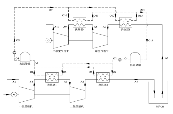
例3-9:某先进绝热压缩空气储能系统采用两级压缩、两级膨胀的技术方案,采用高温合成导热油作为传热和储热工质,其方案如下图所示。图中,各物流节点都进行了标注,A代表空气,O代表导热油,各节点的压力、温度、流量、比㶲如下表所示。该方案中,压缩时间为8小时,膨胀时间为4小时。一级、二级压缩机的功率分别为10.09 MW和9.60 MW,一级、二级透平的功率分别为12.76 MW和12.67 MW。试求各压缩机、透平和换热器的㶲损失。
位于德国北部的下萨克森州境内,1978年建成投运,世界首座商业运行的压缩空气储能电站
装机容量为290 MW,可实现连续发电2小时
采用两座地下盐穴储气,总容积31万立方米
为电网提供快速备用容量服务,其只需要大约6分钟即可达到额定出力 。
位于美国阿拉巴马州境内,1991年建成投运,世界第二座座商业运行的压缩空气储能电站
装机容量为110 MW,可实现连续发电26小时
采用一座地下盐穴储气,总容积62万立方米
在高压透平入口增加一个预热器,实现了低压透平高温排气的余热利用,提高了系统的效率
先进绝热压缩空气储能电站
TICC-500电站
位于安徽芜湖,2014年建成投运,世界首座实现并网运行先进绝热压缩空气储能工业试验电站
装机容量为500 kW,可实现连续发电1小时
采用两个钢制压力容器储气,总容积100立方米
技术路线:五级压缩、三级膨胀、加压水蓄热
位于江苏金坛,2021年建成投运,我国唯一的压缩空气储能国家示范项目,世界首座商业运行先进绝热压缩空气储能工业电站
装机容量为60MW,可实现连续发电5小时
采用1座盐穴储气,容积22.4万立方米
技术路线:两级离心压缩、两级轴流膨胀、高温合成导热油蓄热
其他电站
西宁光热复合压缩空气储能电站
位于青海西宁,2017年建成投运,世界首座实现并网运行光热复合式压缩空气储能工业试验电站
装机容量为100 kW,可实现连续发电1小时
采用管线钢储气,总容积15立方米
技术路线:槽式光热集热复合压缩空气储能
液态空气储能电站
位于英国伯明翰大学,2012年建成投运,世界首座液态空气储能试验平台
装机容量为350 kW,可实现连续发电4小时
采用采用八个石子填充床作为冷量回收装置
由于系统冷量回收效率低、动态过程损失大,导致系统储能效率偏低
压缩空气储能是采用压缩空气作为能量载体,实现能量存储和跨时间、空间转移和利用的一种能源系统;
本章首先介绍了压缩空气储能的基本概念、主要用途和主要类别,回顾了与压缩空气储能相关的主要热力学基础知识;
选取具有代表性的先进绝热压缩空气储能技术作为重点,详细介绍其基本原理和关键设备;基于热力学第一定律和热力学第二定律,阐述了压缩空气储能系统的热力学分析方法;
对基于不同技术路线的典型压缩空气储能电站进行了详细的介绍,概述了压缩空气储能系统在实际应用场景中的运行特性;
压缩空气储能可广泛用于电源侧、电网侧和用户侧,发挥调峰、调频、容量备用、无功补偿和黑启动等作用;在我国大力发展新型电力系统和“双碳” 目标愿景下,压缩空气储能技术未来具有非常广阔的应用前景。