EMCA
来源:
莱芜市泰山阳光冶金有限公司冷却风机节能变频改造项目
如需了解更多节能方案和节能改造服务,请咨询低碳网专业专家团队。
一、案例名称
莱芜市泰山阳光冶金有限公司冷却风机节能变频改造项目
二、案例业主
莱芜市泰山阳光冶金有限公司成立于2003年12月,注册资本5000万元,在职职工400余人,占地200亩。公司建有450m3高炉一座及原燃料加工设施一套,主要经营球墨铸铁、铸造用生铁。
该公司主要用能设备为高炉、烧结机以及各种风机、水泵、传送装置等。公司重视节能环保工作,高炉剩余煤气引至泰山阳光电力用于煤气发电,炼铁水渣与当地企业联合办厂,既实现了资源利用又达到了废物零排放,现在正在建设烧结机余热发电项目。公司主要产品年生产能力40万吨,产品主要供周边泰钢、莱钢等大型钢厂使用。
三、案例内容
1.技术原理及适用领域
风机水泵节能原理为一般风机水泵使用的阀门调节法,主要是通过调节管道出口的开度来调节流量,实际是通过改变管道的阻力来改变的流量。阀门调节时,管阻特性随着阀门开度的变化而变化,电机恒速运行,因此扬程特性并不改变。如下图所示,当流量从QA下降到QB时,稳定工作点由A点移到B点,供水功率PA与0EBF区域的面积成正比。
变频(转速)调节法是通过改变风机水泵转速来改变流量。管道一般处于全开状态,如果风机水泵转速改变,则全扬程也改变。采用转速调节法时,扬程随着转速改变而改变但管阻特性则保持不变。如下图所示,当流量从QA下降到QB时,稳定工作点由A点移到C点,供水功率PB与0ECH区域的面积成正比。
从下图可看出,采用转速调节法比采用阀门调节法节约的功率△P与HCBF区域的面积成正比。
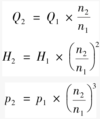
由风机水泵特性得知,轴功率P与流量Q,风压(扬程)H的关系为:P∝Q×H
当电动机的转速由n1变化到n2时,Q、H、P与转速的关系如下:


风机水泵节能原理图
可见流量Q和电机的转速n是成正比关系的,而所需的轴功率P与转速的立方成正比关系。由上述推导可以知道,采用转速调节法的节能效果很明显。随着变频调速技术不断成熟,风机水泵采用变频器来控制其转速。由电机转速公式n=60f/p,其中n为电机同步转速,f为供电频率,p为电机极对数,可知电机供电频率f与转速成正比。这样,采用变频器调速时变频器的输出频率与流量、扬程及电机轴功率也有上述的n次方(n=1,2,3)比例关系。
该技术主要应用于风机水泵系统中的电机节能。
2.节能改造具体内容
对业主的冷却风机使用高压变频进行调速节能。该风机此前采用风阀进行风量调节,日常风阀开度在45%~75%之间,节能服务公司采用高压变频对风机进行调速控制,改造后变频器根据工艺需要驱动风机按不同频率运行,风阀始终在全开位置。
3.项目实施情况
项目于2012年11月签订合同,11月5日开工实施。2012年11月26日调试、测试、验收完毕。目前运行情况良好,节能率在18%~47%之间。
四、项目年节能量及节能效益
(1)系统改造前后能耗情况对比。

系统改造前后能耗情况对比
(2)节能量计算方法。
以电能表测量冷却风机改造后工作72小时所耗电量,由双方签字确认。
改造后单位小时能耗=安装节能设备后工作72小时所耗电量/72小时;
单位小时节电量=927.5kW·h-改造后单位小时能耗;
实际节电率=单位小时节电量/927.5kW·h×100%;
每月节电量=单位小时节电量×时间基准;
每月节能收益=每月节电量×0.67元/kW·h;
项目年节能量:342.2×7200=2463840kW·h;
折合标煤:2463840×0.00034tce/kW·h=837.7吨;
年节能效益为:2463840×0.67=165万元。
五、商业模式
双方约定采用节能效益分享型商业模式,具体测试方法如下:
1.电价基准(能源价格)
0.67元/kW·h(此电价为该项目固定电价,不随上网电价变动而变动)。
2.时间基准
业主和节能服务公司双方约定节能效益分享期内,节能设备月累计运行时间不得小于600小时。若少于600小时则按600小时计算,若大于600小时则按实际测试结果计算,测试结果以每月能耗在线监测模块反馈数据为准。
3.节能收益分享
业主与节能服务公司分享比例为3∶7。
项目最终约定平均节能量为300kW·h/小时,业主按每月84420元支付节能服务公司分享款项。
在项目执行过程中,设备所有权归节能服务公司所有,项目执行完毕后,设备所有权归业主所有。
六、融资渠道
项目投资额为104万元(未计运营维护成本),完全为节能服务公司自有资金。
特别声明:本网站转载的所有内容,均已署名来源与作者,版权归原作者所有,若有侵权,请联系我们删除。凡来源注明低碳网的内容为低碳网原创,转载需注明来源。