EMCA
来源:
上海宝钢集团公司 1号高炉出铁场除尘系统节能技改项目
一、案例名称
上海宝钢集团公司1号高炉出铁场除尘系统节能技改项目
二、案例业主
上海宝钢集团公司是以宝山钢铁(集团)公司为主体联合重组上海冶金控股(集团)公司和上海梅山(集团)公司,于1998年11月17日成立的特大型钢铁联合企业。宝钢年产钢能力3000万吨左右,位列全球钢铁企业第三位。
该项目是针对上海宝钢集团公司1号高炉的一次、二次除尘风机及原脱硅除尘风机进行改造。
1号高炉共有4个出铁口,4个出铁口轮流出铁,每个出铁口出铁时间为2小时,按出铁制度,一个铁口尚未出完铁,另一个铁口就开始出铁,整个出铁场为轮流不间断出铁,烟尘的散发量也是连续不断的。当一个出铁口出铁时所需风量为额定风量的80%,另一个出铁口准备出铁时需提前0.5小时打开出铁口挡板,这时所需风量为额定风量的100%。

图1 宝钢1号高炉出铁制度(时序与风量要求)
三、案例内容
1.技术原理及适用领域
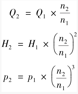
从流体力学的原理得知,使用感应电动机驱动的风机、水泵负载,轴功率P与流量Q,扬程H的关系为:P∝Q×H。
当电动机的转速由n1变化到n2时,Q、H、P与转速的关系如下:

可见流量Q和电机的转速n成正比,而所需的轴功率P与转速的立方成正比。所以当需要80%的额定流量时,通过调节电机的转速至额定转速的80%,即调节频率到40Hz即可,这时所需功率仅为原来的51.2%。
如图2所示,从风机、水泵的运行曲线图来分析采用变频调速后的节能效果。

图2 风机、水泵的运行曲线图
当所需风量、流量从Q1减小到Q2时,如果采用调节阀门的办法,管网阻力将会增加,管网特性曲线上移,系统的运行工况点从A点变到新的运行工况点B点运行,所需轴功率P2与面积H2×Q2成正比;如果采用调速控制方式,风机、水泵转速由n1下降到n2,其管网特性并不发生改变,但风机、水泵的特性曲线将下移,因此其运行工况点由A点移至C点。此时所需轴功率P3与面积HB×Q2成正比。从理论上分析,所节约的轴功率△P与(H2-HB)×(B-C)的面积成正比。
考虑减速后效率下降和调速装置的附加损耗,通过实践的统计,风机泵类通过调速控制可节能20%~50%,有些风机负载节能比例达60%以上。
上图所示,对于入口导流器调节的离心式风机的H-Q性能曲线为与导流器或风门开度相关的一簇曲线,开度越小(角度越大)则风机H-Q曲线越向下,达到的风压力与流量越小;而风机的等效率曲线是类似一簇椭圆曲线,其长轴方向与管路特性曲线方向垂直,如图所示,对于入口导流器调节的离心式风机的H-Q性能曲线为与导流器或风门开度相关的一簇曲线,开度越小(角度越大)则风机H-Q曲线越向下,达到的风压力与流量越小;而风机的等效率曲线是类似一簇椭圆曲线,其长轴方向与管路特性曲线方向垂直,在图3中所示可见其高效区比较窄,在风机入口导流器调节角度改变时,风机的效率变化显著。一般地,风机采用入口导流器的调节角度30°以内(开度在65%以上时)的风机内效率可保持较高值,随着入口导流器调节角度的增大风机的效率有显著下降。

图3 风机的运行曲线示意图
2.节能改造具体内容
采用高压变频调速系统对除尘风机进行改造,具体实现过程为变频器运行频率由现场出铁口出铁控制信号远程操作,当所有的出铁口烟尘扑集罩阀门全部打开时,风机以最高转速运行;其他情况在保证每一烟罩除尘效果的前提下,根据烟罩阀门的开、关情况自动调节风机转速,尽量降低风机转速。变频器内置一台PLC用于接收现场出铁口开关信号并进行逻辑处理协调控制频率输出调节风机转速,并且可以根据用户的需要扩展控制开关量,增强系统的接口灵活性。变频器也可由控制室的上位机或操作台进行操作,保证两个出铁口出铁时控制变频器高速运行(对应两个出铁口的各进风口的阀门打开),并可以根据工况需要强制高速运行半小时或一个周期(两个半小时)然后自动恢复运行。出铁口的各除尘点进风口阀门需根据出铁口开启、关闭的过程自动控制完成,以确保满足出铁除尘要求的工艺条件下,出铁口的除尘在单个出铁口工作时减速运行并实现节能。
该项目主要设备为5台高压变频调速装置,通过变频调速调节负载出力以满足工况需要。高压变频器对应的适配电机参数如表1。

表1 高压变频器对应的适配电机参数
3.项目实施情况
项目于2012年1月开工建设,2012年7月竣工。项目目前正常运行。
四、项目年节能量及节能效益
1.节能量
(1)原系统(设备)主要参数及用能情况。

表2 1号一次除尘风机电机参数
1号一次除尘风机改造前工频运行功率:
P1=×U×I×cosφ=1261.75kW。

表3 2号一次除尘风机电机参数
2号一次除尘风机改造前工频运行功率:
P1=×U×I×cosφ≈1304.84kW。

表3 1号二次除尘风机参数
1号二次除尘风机改造前工频运行功率:
P1=×U×I×cosφ≈1511.66kW。

表4 2号二次除尘风机参数
2号二次除尘风机改造前工频运行功率:
P1=×U×I×cosφ≈1286.05kW。

表5 原脱硅除尘风机参数
原脱硅风机改造前工频运行功率:
P1=×U×I×cosφ≈886.65kW。
(2)系统(设备)改造后用能情况。
1号一次除尘风机改造后变频运行功率:
P2≈950kW;
2号一次除尘风机改造后变频运行预计功率:
P2≈856kW;
1号二次除尘风机改造后变频运行预计功率:
P2≈926kW;
2号二次除尘风机改造后变频运行预计功率:
P中≈842kW;
原脱硅风机改造后变频运行预计功率:
P2≈669kW。
(3)节能量计算方法。
节能基准线:
改造前风机的年度、月度实际耗电量:
月耗电基准线M1:以两台风机耗电量连续一个月监测,测量出的风机实际月耗电量;
年耗电基准线Y1=M1×12;
改造后的实际耗电量:
此次改造中将安装电量计量系统,以实测值作为月度实际耗电量M2和年度实际耗电量Y2。
节能量计算方法:
月度节电量△M=M1-M2;
年度节电量△Y=Y1-Y2。
项目年节能量:
项目年节省电量352万kW·h,折合标煤约1179.2吨。
2.节能效益
项目年节省电量352万kW·h,平均电价0.75元/kW·h,年节能效益352×0.75=264万元。
五、商业模式
该项目采用节能效益分享型的合同能源管理模式,节能服务的合同期为7年,用能单位分享节能收益的15%,节能服务公司分享85%(工程服务提供方分享其中67%,设备服务提供方分享其中33%)。在合同到期并且业主向卖方履行完付款义务之前,该项目下的所有由节能服务公司采购并安装的设备、设施和仪器等财产(简称“项目财产”)的所有权属于节能服务公司;合同顺利履行完毕之后,项目财产的所有权无偿转移给业主。
六、融资渠道
上海宝钢节能技术有限公司项目总包,相关工程费用由其出资承担;广州智光节能有限公司以带资提供设备及服务方式共同为客户实施项目。项目内容包括工程设计、设备供货及其安装和调试、运行和维护,并对其完整性、可靠性、先进性向宝山钢铁股份有限公司炼铁厂负责。主要设备及其配套设施总价值344万元,所使用的资金全部为自有资金。
七、优惠政策
该项目符合合同能源管理财政奖励专项资金的申请条件,由上海宝钢节能技术有限公司负责在上海市申请。
特别声明:本网站转载的所有内容,均已署名来源与作者,版权归原作者所有,若有侵权,请联系我们删除。凡来源注明低碳网的内容为低碳网原创,转载需注明来源。