EMCA
来源:
宁夏发电集团马莲台发电厂给水泵变频改造项目
如需了解更多节能方案和节能改造服务,请咨询低碳网专业专家团队。
一、案例名称
宁夏发电集团马莲台发电厂给水泵变频改造项目
二、案例业主
马莲台发电厂地处宁夏宁东地区能源化工基地,是宁夏发电集团有限责任公司独资建设的第一个火力发电厂。电厂设计规模为2x330MW+2x600MW+2x1000MW,一期2x330MW工程于2004年6月1日开工建设,号、2号机组先后于2005年和2006年投入商业运行,机组为北重N330-17.75/540/540型亚临界一次中间再热、单轴、三缸双排汽、凝汽式汽轮发电机组。锅炉为武汉锅炉厂生产的1018 th亚临界一次中间再热,燃煤自然循环汽包锅炉。厂用电在4.5%~8%之间。锅炉给水泵的耗电量在机组辅机中所占比例是最高的,约占纯电泵机组厂用电的30%~45%左右。
在对锅炉给水泵的流量调节方面,马莲台发电厂锅炉给水系统配置了3台半容量液力耦合以调节电动给水泵输出转速。相比过去单纯依靠阀门进行流量调节,取得了明显的节能效果。但液力耦合器调节也存在一定的弊端,如在低转速比时效率明显下降,存在较大的传动损耗,设备维护率高,甚至出现漏油等现象。
1号机组的两台给水泵电机额定功率为5500kW,经液耦调节后,实际平均运行功率为4500kW。实际设备年运行约300天,则年耗电量为平均功率x年运行时间=6480万kw·h
三、案例内容
1.技术原理及适用领域
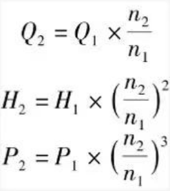
从流体力学的原理得知,使用感应电动机驱动的风机、水泵负载,轴功率P与流量O、扬程H的关系为:PxOxH。
使用液力耦合器调节输出转速,输出转速和输入功率的关系为:P=(1-s)P10,其中S为转差率。可见功率P和输出转速n近似成正比。
对于变频调速,当电动机的转速由n变化到n时,O、H、P与转速的关系如下:

可见流量O和电机的转速n是成正比关系的,而所需的轴功率P与转速的立方成正比关系。所以当需要80%的额定流量时,通过调节电机的转速至额定转速的80%,即调节频率到40Hz即可,这时所需功率将仅为原来的51.2%。可以看出变频调速的节能效果一般明显优于液耦调速的节能效果,并且在负载率不是很高的情况下,变频器的整体调速效率要远高于液耦调速。

变频调速与液力耦合器调速效率比较
2.节能改造具体内容
该项目对宁夏发电集团马莲台发电厂(业主)进行1号机组给水泵变频节能改造(一期)。1号机组有三套给水泵,包括液力耦合器、配套电机和电源系统。对1号机
组两台长期投入运行的A、B给水泵进行变频改造,安装变频节能装置,并对机组DCS控制系统相应部分进行控制软件改造,C泵仍保持原有状态不进行改造。节能服务公司负责电机节能改造,及相应的土建、高压系统的设计、供货、安装等工作。变频调速改造的给水泵组保留液力耦合器,将液力耦合器的勺管开度保持全开,运行时,通过给水泵电动机配备的高压变频器,调节电动机频率控制给水泵转速。
3.项目实施情况
项目于2012年7月20日开工,已于2012年10月18日竣工。项目实施期间基本顺利,现已投入运行,节电量符合预期。
四、项目年节能量及节能效益
1.节能量
(1)原系统(设备)主要参数及用能情况。
表1 原系统(设备)主要参数

续表

表2 原系统(设备)用能情况

(2)系统(设备)改造后用能情况。
系统(设备)改造后用能情况表3

(3)节能量计算方法
电动给水泵液力耦合器调速改造为变频调速的特点为:根据机组负荷变化,给水泵驱动电机的功率变化是非线性的。与原液力耦合器调速相比,给水泵改造成变频器调速后,随着给水泵负荷升高,也就是给水泵出口压力升高、给水流量增加,给水泵电动机的相对节电率是逐渐降低的,因此给水泵在不同给水流量下,节电率是不同的。给水流量与机组对外的供电量,也就是机组负荷成正相关的关系,机组负荷增加、锅炉蒸发量增加、给水流量增加,相对节电率则与机组负荷成反相关系。
因此,科学计量确定节电量应采用如下方法:
节电量是瞬时节电功率值对时间的累计。变频调速节电量是指在某一给水流量下,改造前电动机的电流值减去改造后电动机的电流值产生的差值即给水泵变频改造的节电值。根据公式计算出单位时间的节电量就是单位节电量(单位为功率的单位:kw),再乘上给水泵运行的累计时间(单位为:小时),就得出了某一时段内该给水流量的节电量,把这一时段各个不同给水流量的节电量进行时间加权相加就是该时段总的节电量(单位:kW·h)
能耗基准:改造前对机组运行的各典型工况(锅炉蒸发量)下的给水泵流量、给水压力(作为参考值)、给水泵电机电流功率记录,并对计算功率按照各负荷段的给水泵流量325(310~340)t/h、290(285~310)t/h、270(265~285)t/h、(250)235~265 t/h、(220)205~235 t/h、(190)175~205 t/h等6个段进行平均计算,得出各段对应给水流量下的给水泵运行功率(单位:kW)分别为:P1、P2、......、P6。
改造后的能耗计量:改造完成后对机组运行的各典型工况(锅炉蒸发量)下的给水泵、给水压力(作为参考值)、给水泵电机电流功率记录,并对计算功率按照各负荷段锅炉给水流量6个段进行平均计算,得出各段对应给水流量下的给水泵运行功率(单位:kW)分别为:p1、P2、…、P6
节能量计算:采用各负荷段锅炉给水流量6个点的节能量,各段对应给水流量下的节能量(改造完成后经过试验确定)分别为:W=P1-p1、W-P2-p2、…、W6P6P6,作为机组各负荷段下给水泵的单位时间节电量。
在改造完成后的分享期内根据DCS系统的运行记录,取得机组运行中对应各负荷段(锅炉蒸发量)的各典型工况下运行时间的
累计差值(累计分辨率为1分钟或5分钟或10分钟或其他间隔,视DCS系统容量确定)计时累计时间分别为T1、T2、…、T6(单位换算为小时),则某计量周期内的改造设备运行的节电量(单位:kW·h)W的计算如下:
则节约耗电量(单位:kW·h)计算公式如下:
W=W,xT +W₂xT₂+.....+WxT
若计算电价为m元/kW·h为准,分享期节电效益E(单位:元)的计算公式如下:
E=m xW
(4)项目年节能量。
项目年节电约1140万kW·h,按照电厂2012年前11个月平均供电煤耗334g/kW·h计算,折合标煤3810吨
2.节能效益
按照电厂上网电价0.2886元/kW·h计算,每年可产生经济效益329万元。
五、商业模式
采用节能效益分享型的合同能源管理模式,对宁夏发电集团马莲台电厂(业主)进行1号机组电泵变频改造节能(一期),业主将节能改造后节省的能源费用与广州智光节能有限公司(节能服务公司)分享,节能服务公司通过分享节能效益的方式收回节能改造投资。业主按季度支付节能服务公司节能效益,合同期满后,所有设备和节能效益均归业主所有。
六、融资渠道
该项目的资金来源全部为节能服务公司自有资金。投资额为1330.15万元。
特别声明:本网站转载的所有内容,均已署名来源与作者,版权归原作者所有,若有侵权,请联系我们删除。凡来源注明低碳网的内容为低碳网原创,转载需注明来源。